来源于:原创 奇点糕 奇点网
肥胖导致的癌症风险。在近期的《柳叶刀·糖尿病与内分泌学》上,一项最新的分析就显示:青少年时期的肥胖,与男性在中年阶段癌症风险上升26%,女性除宫颈癌和乳腺癌以外的癌症风险上升27%有关!
(图片来源:Pixabay)
这项分析,是基于以色列1967-2010年间,全国230万青少年的健康资料和此后的随访数据得出的,而且风险升高最早在脱离青少年时期后10年,也就是还不到30岁,就会明显体现出来[1]!
青少年肥胖的这种影响,足以解释全部癌症发病的5%!所以奇点糕真是替现在的小胖妞小胖墩们捏了一把汗啊,而且这学校不开学,在家里好吃好喝的,要是再催生出新一波……各部门注意,赶紧行动起来啊
用英国癌症研究组织(Cancer Research UK)的说法,肥胖现在已经取代了吸烟,成为导致癌症的最大风险因素。虽然这种观点还导致了相当大的争议[2],但肥胖的影响之大,确实是不争的事实。
尤其是随着青少年肥胖的比例不断上升,下一代人会在怎么样的程度上被影响,还真是说不好,因为过往的研究,大多关注的是癌症风险相对偏高的中老年人。那么“一胖毁所有”,在肥胖青少年身上会不会应验呢?
(图片来源:Pixabay)
开展本次研究的以色列国防军医疗部门人员,调取了1967-2010年间,以色列青少年兵役登记时的体检信息,由于以色列几乎是全民兵役制度,这些信息就涵盖了全国绝大多数的青少年。
这些人在兵役登记时,体检存在肥胖(BMI在第85百分位数以上)的占到了12%,而且随访期明显比不肥胖的人更短,也从侧面提示了肥胖人群随着时间推移,比例不断增多的趋势。
根据这些信息,研究团队按照青少年的BMI指标划分群体,然后再对照以色列国家癌症数据库中的登记资料,分析截至2012年不同BMI人群的癌症发病情况,从而计算肥胖的影响。
这近230万人当中已经确诊了5.5万例癌症患者,有1.3万人因癌症去世,而且确诊癌症的中位年龄,男性和女性分别是43.2岁和40岁,其中男性主要以淋巴瘤、黑色素瘤和结直肠癌发病为主,女性则是宫颈癌和乳腺癌为主。
中年得知自己患癌,想想也是挺难受的。而且研究团队分析数据发现,癌症种类和BMI的关系,也不能一概而论,比如男性肺癌和女性宫颈癌、乳腺癌的发病风险,就与BMI呈现负相关的关系。
严肃提醒,不准解读说“肥胖防男性肺癌”,望周知
男性肺癌在这次的分析中影响不大,但宫颈癌、乳腺癌占到了女性癌症发病的一半以上,研究团队决定先剔除这两种癌症,分析女性其他癌症风险与BMI的关系,因此就有了女性肥胖与癌症发病风险上升27%有关的结论。
如果按照时间线关系来看,那么在兵役体检的10年后,肥胖与癌症风险上升的关联性,就会在分析数据上体现出来,而且随着时间推移逐渐上升。到2017年时,这种影响的归因危险度已经达到5%,也就是足以单独解释5%的癌症发病。
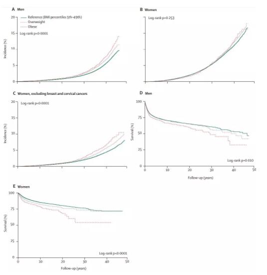
当然了,肥胖的影响也不局限在癌症发病风险上。从研究团队的分析来看,分析中癌症患者确诊后的5年生存率,也和肥胖有明显的关联,比如女性肥胖癌症患者的5年生存率,就比体重正常的人要低6%,相当于相对风险上升了89%!
跟体重正常患者(绿线)比起来,超重和肥胖的线走向就不咋样了
肥胖的威胁,真是赤裸裸的啊。不过用《柳叶刀》配发的社论里的话说,那些健康受肥胖威胁最大的人,反而“可能是最不容易行动起来,改变生活方式对抗肥胖的人”。


